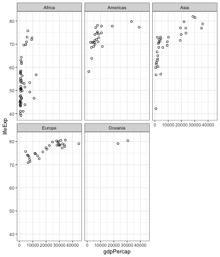
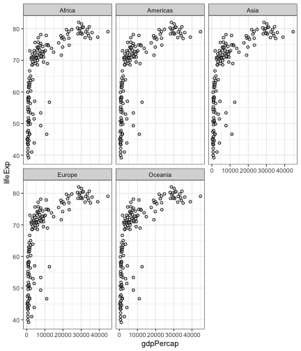
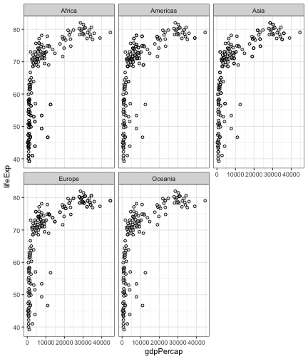
count: false .panel1-the_chunk-auto[ ``` r *(theme_bw() + * theme(geom = element_geom(pointshape = 21))) ``` ] .panel2-the_chunk-auto[ ``` <theme> List of 144 $ line : <ggplot2::element_line> ..@ colour : chr "black" ..@ linewidth : num 0.5 ..@ linetype : num 1 ..@ lineend : chr "butt" ..@ linejoin : chr "round" ..@ arrow : logi FALSE ..@ arrow.fill : chr "black" ..@ inherit.blank: logi TRUE $ rect : <ggplot2::element_rect> ..@ fill : chr "white" ..@ colour : chr "black" ..@ linewidth : num 0.5 ..@ linetype : num 1 ..@ linejoin : chr "round" ..@ inherit.blank: logi TRUE $ text : <ggplot2::element_text> ..@ family : chr "" ..@ face : chr "plain" ..@ italic : chr NA ..@ fontweight : num NA ..@ fontwidth : num NA ..@ colour : chr "black" ..@ size : num 11 ..@ hjust : num 0.5 ..@ vjust : num 0.5 ..@ angle : num 0 ..@ lineheight : num 0.9 ..@ margin : <ggplot2::margin> num [1:4] 0 0 0 0 ..@ debug : logi FALSE ..@ inherit.blank: logi TRUE $ title : <ggplot2::element_text> ..@ family : NULL ..@ face : NULL ..@ italic : chr NA ..@ fontweight : num NA ..@ fontwidth : num NA ..@ colour : NULL ..@ size : NULL ..@ hjust : NULL ..@ vjust : NULL ..@ angle : NULL ..@ lineheight : NULL ..@ margin : NULL ..@ debug : NULL ..@ inherit.blank: logi TRUE $ point : <ggplot2::element_point> ..@ colour : chr "black" ..@ shape : num 19 ..@ size : num 1.5 ..@ fill : chr "white" ..@ stroke : num 0.5 ..@ inherit.blank: logi TRUE $ polygon : <ggplot2::element_polygon> ..@ fill : chr "white" ..@ colour : chr "black" ..@ linewidth : num 0.5 ..@ linetype : num 1 ..@ linejoin : chr "round" ..@ inherit.blank: logi TRUE $ geom : <ggplot2::element_geom> ..@ ink : chr "black" ..@ paper : chr "white" ..@ accent : chr "#3366FF" ..@ linewidth : num 0.5 ..@ borderwidth: num 0.5 ..@ linetype : int 1 ..@ bordertype : int 1 ..@ family : chr "" ..@ fontsize : num 3.87 ..@ pointsize : num 1.5 ..@ pointshape : num 21 ..@ colour : NULL ..@ fill : NULL $ spacing : 'simpleUnit' num 5.5points ..- attr(*, "unit")= int 8 $ margins : <ggplot2::margin> num [1:4] 5.5 5.5 5.5 5.5 $ aspect.ratio : NULL $ axis.title : NULL $ axis.title.x : <ggplot2::element_text> ..@ family : NULL ..@ face : NULL ..@ italic : chr NA ..@ fontweight : num NA ..@ fontwidth : num NA ..@ colour : NULL ..@ size : NULL ..@ hjust : NULL ..@ vjust : num 1 ..@ angle : NULL ..@ lineheight : NULL ..@ margin : <ggplot2::margin> num [1:4] 2.75 0 0 0 ..@ debug : NULL ..@ inherit.blank: logi TRUE $ axis.title.x.top : <ggplot2::element_text> ..@ family : NULL ..@ face : NULL ..@ italic : chr NA ..@ fontweight : num NA ..@ fontwidth : num NA ..@ colour : NULL ..@ size : NULL ..@ hjust : NULL ..@ vjust : num 0 ..@ angle : NULL ..@ lineheight : NULL ..@ margin : <ggplot2::margin> num [1:4] 0 0 2.75 0 ..@ debug : NULL ..@ inherit.blank: logi TRUE $ axis.title.x.bottom : NULL $ axis.title.y : <ggplot2::element_text> ..@ family : NULL ..@ face : NULL ..@ italic : chr NA ..@ fontweight : num NA ..@ fontwidth : num NA ..@ colour : NULL ..@ size : NULL ..@ hjust : NULL ..@ vjust : num 1 ..@ angle : num 90 ..@ lineheight : NULL ..@ margin : <ggplot2::margin> num [1:4] 0 2.75 0 0 ..@ debug : NULL ..@ inherit.blank: logi TRUE $ axis.title.y.left : NULL $ axis.title.y.right : <ggplot2::element_text> ..@ family : NULL ..@ face : NULL ..@ italic : chr NA ..@ fontweight : num NA ..@ fontwidth : num NA ..@ colour : NULL ..@ size : NULL ..@ hjust : NULL ..@ vjust : num 1 ..@ angle : num -90 ..@ lineheight : NULL ..@ margin : <ggplot2::margin> num [1:4] 0 0 0 2.75 ..@ debug : NULL ..@ inherit.blank: logi TRUE $ axis.text : <ggplot2::element_text> ..@ family : NULL ..@ face : NULL ..@ italic : chr NA ..@ fontweight : num NA ..@ fontwidth : num NA ..@ colour : chr "#4D4D4DFF" ..@ size : 'rel' num 0.8 ..@ hjust : NULL ..@ vjust : NULL ..@ angle : NULL ..@ lineheight : NULL ..@ margin : NULL ..@ debug : NULL ..@ inherit.blank: logi TRUE $ axis.text.x : <ggplot2::element_text> ..@ family : NULL ..@ face : NULL ..@ italic : chr NA ..@ fontweight : num NA ..@ fontwidth : num NA ..@ colour : NULL ..@ size : NULL ..@ hjust : NULL ..@ vjust : num 1 ..@ angle : NULL ..@ lineheight : NULL ..@ margin : <ggplot2::margin> num [1:4] 2.2 0 0 0 ..@ debug : NULL ..@ inherit.blank: logi TRUE $ axis.text.x.top : <ggplot2::element_text> ..@ family : NULL ..@ face : NULL ..@ italic : chr NA ..@ fontweight : num NA ..@ fontwidth : num NA ..@ colour : NULL ..@ size : NULL ..@ hjust : NULL ..@ vjust : num 0 ..@ angle : NULL ..@ lineheight : NULL ..@ margin : <ggplot2::margin> num [1:4] 0 0 2.2 0 ..@ debug : NULL ..@ inherit.blank: logi TRUE $ axis.text.x.bottom : NULL $ axis.text.y : <ggplot2::element_text> ..@ family : NULL ..@ face : NULL ..@ italic : chr NA ..@ fontweight : num NA ..@ fontwidth : num NA ..@ colour : NULL ..@ size : NULL ..@ hjust : num 1 ..@ vjust : NULL ..@ angle : NULL ..@ lineheight : NULL ..@ margin : <ggplot2::margin> num [1:4] 0 2.2 0 0 ..@ debug : NULL ..@ inherit.blank: logi TRUE $ axis.text.y.left : NULL $ axis.text.y.right : <ggplot2::element_text> ..@ family : NULL ..@ face : NULL ..@ italic : chr NA ..@ fontweight : num NA ..@ fontwidth : num NA ..@ colour : NULL ..@ size : NULL ..@ hjust : num 0 ..@ vjust : NULL ..@ angle : NULL ..@ lineheight : NULL ..@ margin : <ggplot2::margin> num [1:4] 0 0 0 2.2 ..@ debug : NULL ..@ inherit.blank: logi TRUE $ axis.text.theta : NULL $ axis.text.r : <ggplot2::element_text> ..@ family : NULL ..@ face : NULL ..@ italic : chr NA ..@ fontweight : num NA ..@ fontwidth : num NA ..@ colour : NULL ..@ size : NULL ..@ hjust : num 0.5 ..@ vjust : NULL ..@ angle : NULL ..@ lineheight : NULL ..@ margin : <ggplot2::margin> num [1:4] 0 2.2 0 2.2 ..@ debug : NULL ..@ inherit.blank: logi TRUE $ axis.ticks : <ggplot2::element_line> ..@ colour : chr "#333333FF" ..@ linewidth : NULL ..@ linetype : NULL ..@ lineend : NULL ..@ linejoin : NULL ..@ arrow : logi FALSE ..@ arrow.fill : chr "#333333FF" ..@ inherit.blank: logi TRUE $ axis.ticks.x : NULL $ axis.ticks.x.top : NULL $ axis.ticks.x.bottom : NULL $ axis.ticks.y : NULL $ axis.ticks.y.left : NULL $ axis.ticks.y.right : NULL $ axis.ticks.theta : NULL $ axis.ticks.r : NULL $ axis.minor.ticks.x.top : NULL $ axis.minor.ticks.x.bottom : NULL $ axis.minor.ticks.y.left : NULL $ axis.minor.ticks.y.right : NULL $ axis.minor.ticks.theta : NULL $ axis.minor.ticks.r : NULL $ axis.ticks.length : 'rel' num 0.5 $ axis.ticks.length.x : NULL $ axis.ticks.length.x.top : NULL $ axis.ticks.length.x.bottom : NULL $ axis.ticks.length.y : NULL $ axis.ticks.length.y.left : NULL $ axis.ticks.length.y.right : NULL $ axis.ticks.length.theta : NULL $ axis.ticks.length.r : NULL $ axis.minor.ticks.length : 'rel' num 0.75 $ axis.minor.ticks.length.x : NULL $ axis.minor.ticks.length.x.top : NULL $ axis.minor.ticks.length.x.bottom: NULL $ axis.minor.ticks.length.y : NULL $ axis.minor.ticks.length.y.left : NULL $ axis.minor.ticks.length.y.right : NULL $ axis.minor.ticks.length.theta : NULL $ axis.minor.ticks.length.r : NULL $ axis.line : <ggplot2::element_blank> $ axis.line.x : NULL $ axis.line.x.top : NULL $ axis.line.x.bottom : NULL $ axis.line.y : NULL $ axis.line.y.left : NULL $ axis.line.y.right : NULL $ axis.line.theta : NULL $ axis.line.r : NULL $ legend.background : <ggplot2::element_rect> ..@ fill : NULL ..@ colour : logi NA ..@ linewidth : NULL ..@ linetype : NULL ..@ linejoin : NULL ..@ inherit.blank: logi TRUE $ legend.margin : NULL $ legend.spacing : 'rel' num 2 $ legend.spacing.x : NULL $ legend.spacing.y : NULL $ legend.key : NULL $ legend.key.size : 'simpleUnit' num 1.2lines ..- attr(*, "unit")= int 3 $ legend.key.height : NULL $ legend.key.width : NULL $ legend.key.spacing : NULL $ legend.key.spacing.x : NULL $ legend.key.spacing.y : NULL $ legend.key.justification : NULL $ legend.frame : NULL $ legend.ticks : NULL $ legend.ticks.length : 'rel' num 0.2 $ legend.axis.line : NULL $ legend.text : <ggplot2::element_text> ..@ family : NULL ..@ face : NULL ..@ italic : chr NA ..@ fontweight : num NA ..@ fontwidth : num NA ..@ colour : NULL ..@ size : 'rel' num 0.8 ..@ hjust : NULL ..@ vjust : NULL ..@ angle : NULL ..@ lineheight : NULL ..@ margin : NULL ..@ debug : NULL ..@ inherit.blank: logi TRUE $ legend.text.position : NULL $ legend.title : <ggplot2::element_text> ..@ family : NULL ..@ face : NULL ..@ italic : chr NA ..@ fontweight : num NA ..@ fontwidth : num NA ..@ colour : NULL ..@ size : NULL ..@ hjust : num 0 ..@ vjust : NULL ..@ angle : NULL ..@ lineheight : NULL ..@ margin : NULL ..@ debug : NULL ..@ inherit.blank: logi TRUE $ legend.title.position : NULL $ legend.position : chr "right" $ legend.position.inside : NULL $ legend.direction : NULL $ legend.byrow : NULL $ legend.justification : chr "center" $ legend.justification.top : NULL $ legend.justification.bottom : NULL $ legend.justification.left : NULL $ legend.justification.right : NULL $ legend.justification.inside : NULL [list output truncated] @ complete: logi TRUE @ validate: logi TRUE ``` ] --- count: false .panel1-the_chunk-auto[ ``` r (theme_bw() + theme(geom = element_geom(pointshape = 21))) |> * theme_set() ``` ] .panel2-the_chunk-auto[ ] --- count: false .panel1-the_chunk-auto[ ``` r (theme_bw() + theme(geom = element_geom(pointshape = 21))) |> theme_set() *gapminder::gapminder ``` ] .panel2-the_chunk-auto[ ``` # A tibble: 1,704 × 6 country continent year lifeExp pop gdpPercap <fct> <fct> <int> <dbl> <int> <dbl> 1 Afghanistan Asia 1952 28.8 8425333 779. 2 Afghanistan Asia 1957 30.3 9240934 821. 3 Afghanistan Asia 1962 32.0 10267083 853. 4 Afghanistan Asia 1967 34.0 11537966 836. 5 Afghanistan Asia 1972 36.1 13079460 740. 6 Afghanistan Asia 1977 38.4 14880372 786. 7 Afghanistan Asia 1982 39.9 12881816 978. 8 Afghanistan Asia 1987 40.8 13867957 852. 9 Afghanistan Asia 1992 41.7 16317921 649. 10 Afghanistan Asia 1997 41.8 22227415 635. # ℹ 1,694 more rows ``` ] --- count: false .panel1-the_chunk-auto[ ``` r (theme_bw() + theme(geom = element_geom(pointshape = 21))) |> theme_set() gapminder::gapminder |> * filter(year == 2002) ``` ] .panel2-the_chunk-auto[ ``` # A tibble: 142 × 6 country continent year lifeExp pop gdpPercap <fct> <fct> <int> <dbl> <int> <dbl> 1 Afghanistan Asia 2002 42.1 25268405 727. 2 Albania Europe 2002 75.7 3508512 4604. 3 Algeria Africa 2002 71.0 31287142 5288. 4 Angola Africa 2002 41.0 10866106 2773. 5 Argentina Americas 2002 74.3 38331121 8798. 6 Australia Oceania 2002 80.4 19546792 30688. 7 Austria Europe 2002 79.0 8148312 32418. 8 Bahrain Asia 2002 74.8 656397 23404. 9 Bangladesh Asia 2002 62.0 135656790 1136. 10 Belgium Europe 2002 78.3 10311970 30486. # ℹ 132 more rows ``` ] --- count: false .panel1-the_chunk-auto[ ``` r (theme_bw() + theme(geom = element_geom(pointshape = 21))) |> theme_set() gapminder::gapminder |> filter(year == 2002) |> * ggplot() ``` ] .panel2-the_chunk-auto[ <!-- --> ] --- count: false .panel1-the_chunk-auto[ ``` r (theme_bw() + theme(geom = element_geom(pointshape = 21))) |> theme_set() gapminder::gapminder |> filter(year == 2002) |> ggplot() + * aes(gdpPercap, lifeExp) ``` ] .panel2-the_chunk-auto[ <!-- --> ] --- count: false .panel1-the_chunk-auto[ ``` r (theme_bw() + theme(geom = element_geom(pointshape = 21))) |> theme_set() gapminder::gapminder |> filter(year == 2002) |> ggplot() + aes(gdpPercap, lifeExp) + * geom_point() ``` ] .panel2-the_chunk-auto[ <!-- --> ] --- count: false .panel1-the_chunk-auto[ ``` r (theme_bw() + theme(geom = element_geom(pointshape = 21))) |> theme_set() gapminder::gapminder |> filter(year == 2002) |> ggplot() + aes(gdpPercap, lifeExp) + geom_point() + * facet_wrap(facet = vars(continent)) ``` ] .panel2-the_chunk-auto[ <!-- --> ] --- count: false .panel1-the_chunk-auto[ ``` r (theme_bw() + theme(geom = element_geom(pointshape = 21))) |> theme_set() gapminder::gapminder |> filter(year == 2002) |> ggplot() + aes(gdpPercap, lifeExp) + geom_point() + facet_wrap(facet = vars(continent)) + * layers_remove() ``` ] .panel2-the_chunk-auto[ <!-- --> ] --- count: false .panel1-the_chunk-auto[ ``` r (theme_bw() + theme(geom = element_geom(pointshape = 21))) |> theme_set() gapminder::gapminder |> filter(year == 2002) |> ggplot() + aes(gdpPercap, lifeExp) + geom_point() + facet_wrap(facet = vars(continent)) + layers_remove() + # drop shadow * geom_point(data = . %>% select(-continent), * fill = "grey" |> alpha(.5)) ``` ] .panel2-the_chunk-auto[ <!-- --> ] --- count: false .panel1-the_chunk-auto[ ``` r (theme_bw() + theme(geom = element_geom(pointshape = 21))) |> theme_set() gapminder::gapminder |> filter(year == 2002) |> ggplot() + aes(gdpPercap, lifeExp) + geom_point() + facet_wrap(facet = vars(continent)) + layers_remove() + # drop shadow geom_point(data = . %>% select(-continent), fill = "grey" |> alpha(.5)) + # faceted * geom_point() ``` ] .panel2-the_chunk-auto[ <!-- --> ] --- count: false .panel1-the_chunk-auto[ ``` r (theme_bw() + theme(geom = element_geom(pointshape = 21))) |> theme_set() gapminder::gapminder |> filter(year == 2002) |> ggplot() + aes(gdpPercap, lifeExp) + geom_point() + facet_wrap(facet = vars(continent)) + layers_remove() + # drop shadow geom_point(data = . %>% select(-continent), fill = "grey" |> alpha(.5)) + # faceted geom_point() + # styling * aes(fill = I("plum4")) ``` ] .panel2-the_chunk-auto[ <!-- --> ] --- count: false .panel1-the_chunk-auto[ ``` r (theme_bw() + theme(geom = element_geom(pointshape = 21))) |> theme_set() gapminder::gapminder |> filter(year == 2002) |> ggplot() + aes(gdpPercap, lifeExp) + geom_point() + facet_wrap(facet = vars(continent)) + layers_remove() + # drop shadow geom_point(data = . %>% select(-continent), fill = "grey" |> alpha(.5)) + # faceted geom_point() + # styling aes(fill = I("plum4")) + * aes(color = I("white")) ``` ] .panel2-the_chunk-auto[ <!-- --> ] --- count: false .panel1-the_chunk-auto[ ``` r (theme_bw() + theme(geom = element_geom(pointshape = 21))) |> theme_set() gapminder::gapminder |> filter(year == 2002) |> ggplot() + aes(gdpPercap, lifeExp) + geom_point() + facet_wrap(facet = vars(continent)) + layers_remove() + # drop shadow geom_point(data = . %>% select(-continent), fill = "grey" |> alpha(.5)) + # faceted geom_point() + # styling aes(fill = I("plum4")) + aes(color = I("white")) + * aes(size = I(4)) ``` ] .panel2-the_chunk-auto[ <!-- --> ] <style> .panel1-the_chunk-auto { color: black; width: 38.6060606060606%; hight: 32%; float: left; padding-left: 1%; font-size: 80% } .panel2-the_chunk-auto { color: black; width: 59.3939393939394%; hight: 32%; float: left; padding-left: 1%; font-size: 80% } .panel3-the_chunk-auto { color: black; width: NA%; hight: 33%; float: left; padding-left: 1%; font-size: 80% } </style> <style type="text/css"> .remark-code{line-height: 1.5; font-size: 120%} @media print { .has-continuation { display: block; } } code.r.hljs.remark-code{ position: relative; overflow-x: hidden; } code.r.hljs.remark-code:hover{ overflow-x:visible; width: 500px; border-style: solid; } </style>