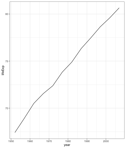
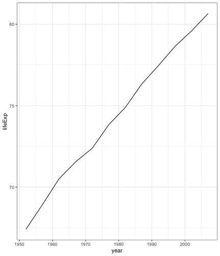
count: false .panel1-the_chunk-auto[ ``` r *gapminder::gapminder ``` ] .panel2-the_chunk-auto[ ``` # A tibble: 1,704 × 6 country continent year lifeExp pop gdpPercap <fct> <fct> <int> <dbl> <int> <dbl> 1 Afghanistan Asia 1952 28.8 8425333 779. 2 Afghanistan Asia 1957 30.3 9240934 821. 3 Afghanistan Asia 1962 32.0 10267083 853. 4 Afghanistan Asia 1967 34.0 11537966 836. 5 Afghanistan Asia 1972 36.1 13079460 740. 6 Afghanistan Asia 1977 38.4 14880372 786. 7 Afghanistan Asia 1982 39.9 12881816 978. 8 Afghanistan Asia 1987 40.8 13867957 852. 9 Afghanistan Asia 1992 41.7 16317921 649. 10 Afghanistan Asia 1997 41.8 22227415 635. # ℹ 1,694 more rows ``` ] --- count: false .panel1-the_chunk-auto[ ``` r gapminder::gapminder |> * filter(country %in% c("France") ) ``` ] .panel2-the_chunk-auto[ ``` # A tibble: 12 × 6 country continent year lifeExp pop gdpPercap <fct> <fct> <int> <dbl> <int> <dbl> 1 France Europe 1952 67.4 42459667 7030. 2 France Europe 1957 68.9 44310863 8663. 3 France Europe 1962 70.5 47124000 10560. 4 France Europe 1967 71.6 49569000 13000. 5 France Europe 1972 72.4 51732000 16107. 6 France Europe 1977 73.8 53165019 18293. 7 France Europe 1982 74.9 54433565 20294. 8 France Europe 1987 76.3 55630100 22066. 9 France Europe 1992 77.5 57374179 24704. 10 France Europe 1997 78.6 58623428 25890. 11 France Europe 2002 79.6 59925035 28926. 12 France Europe 2007 80.7 61083916 30470. ``` ] --- count: false .panel1-the_chunk-auto[ ``` r gapminder::gapminder |> filter(country %in% c("France") ) |> * ggplot() ``` ] .panel2-the_chunk-auto[ <!-- --> ] --- count: false .panel1-the_chunk-auto[ ``` r gapminder::gapminder |> filter(country %in% c("France") ) |> ggplot() + * aes(x = year, * y = lifeExp) ``` ] .panel2-the_chunk-auto[ <!-- --> ] --- count: false .panel1-the_chunk-auto[ ``` r gapminder::gapminder |> filter(country %in% c("France") ) |> ggplot() + aes(x = year, y = lifeExp) + * geom_line() ``` ] .panel2-the_chunk-auto[ <!-- --> ] --- count: false .panel1-the_chunk-auto[ ``` r gapminder::gapminder |> filter(country %in% c("France") ) |> ggplot() + aes(x = year, y = lifeExp) + geom_line() + * aes(y2 = gdpPercap) ``` ] .panel2-the_chunk-auto[ <!-- --> ] --- count: false .panel1-the_chunk-auto[ ``` r gapminder::gapminder |> filter(country %in% c("France") ) |> ggplot() + aes(x = year, y = lifeExp) + geom_line() + aes(y2 = gdpPercap) + * geom_line_sec_axis() ``` ] .panel2-the_chunk-auto[ <!-- --> ] <style> .panel1-the_chunk-auto { color: black; width: 38.6060606060606%; hight: 32%; float: left; padding-left: 1%; font-size: 80% } .panel2-the_chunk-auto { color: black; width: 59.3939393939394%; hight: 32%; float: left; padding-left: 1%; font-size: 80% } .panel3-the_chunk-auto { color: black; width: NA%; hight: 33%; float: left; padding-left: 1%; font-size: 80% } </style> <style type="text/css"> .remark-code{line-height: 1.5; font-size: 120%} @media print { .has-continuation { display: block; } } code.r.hljs.remark-code{ position: relative; overflow-x: hidden; } code.r.hljs.remark-code:hover{ overflow-x:visible; width: 500px; border-style: solid; } </style>