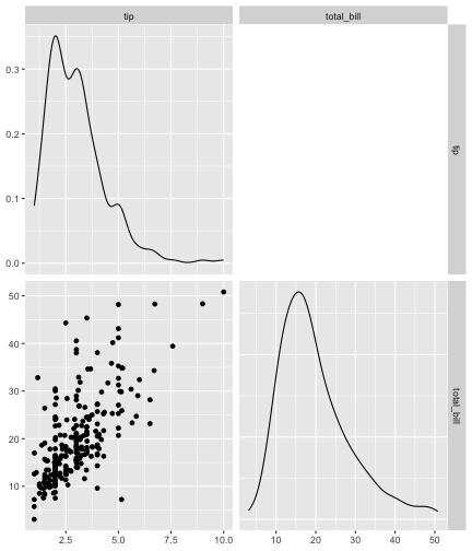
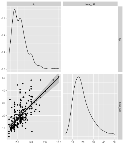
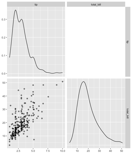
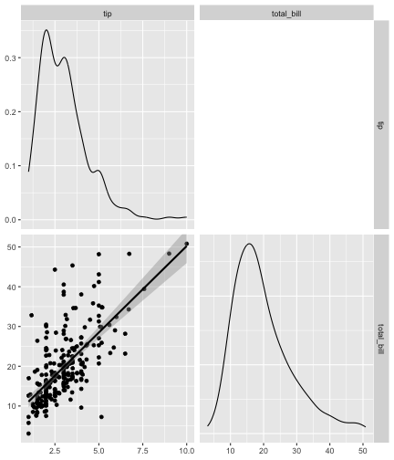
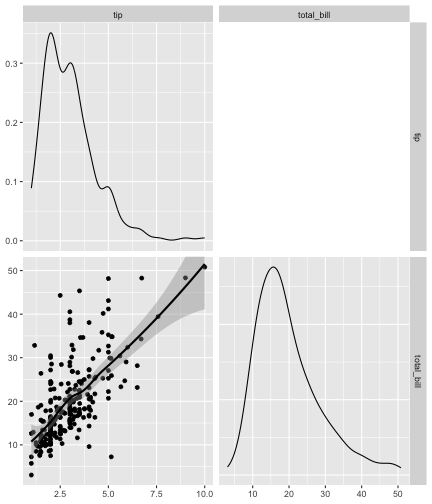
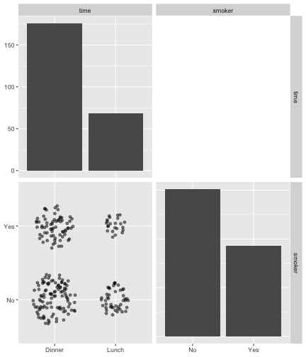
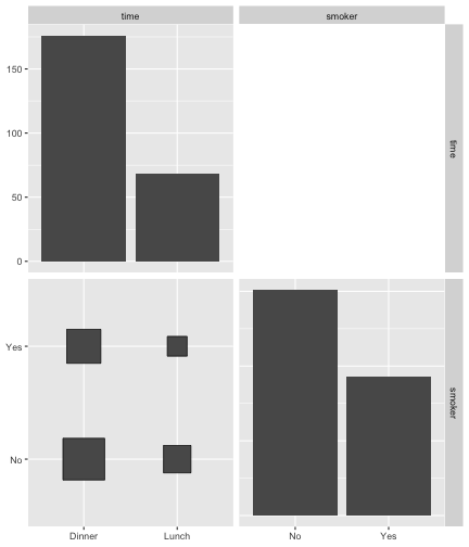
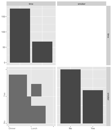
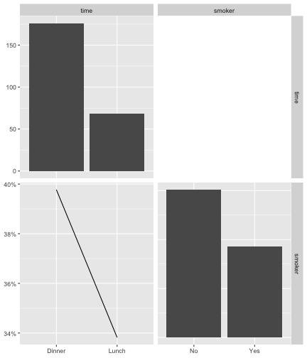
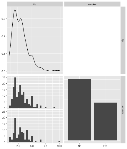
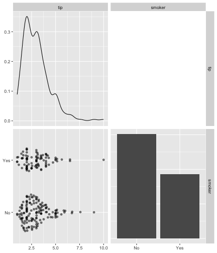
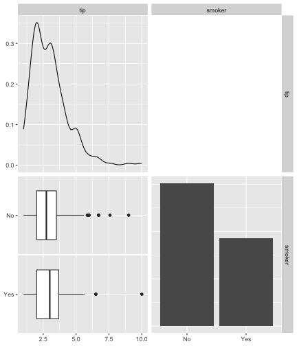
count: false .panel1-the_chunk-auto[ ``` r *ggpairs_piped(tips) ``` ] .panel2-the_chunk-auto[ <!-- --> ] --- count: false .panel1-the_chunk-auto[ ``` r ggpairs_piped(tips) |> set_lower() # ``` ] .panel2-the_chunk-auto[ <!-- --> ] --- count: false .panel1-the_chunk-auto[ ``` r ggpairs_piped(tips) |> set_lower() |> # set_columns(c("tip", "total_bill")) ``` ] .panel2-the_chunk-auto[ <!-- --> ] --- count: false .panel1-the_chunk-auto[ ``` r ggpairs_piped(tips) |> set_lower() |> # set_columns(c("tip", "total_bill")) |> set_lower(list(continuous = "smooth")) # lm is default ``` ] .panel2-the_chunk-auto[ <!-- --> ] --- count: false .panel1-the_chunk-auto[ ``` r ggpairs_piped(tips) |> set_lower() |> # set_columns(c("tip", "total_bill")) |> set_lower(list(continuous = "smooth")) |> # lm is default set_lower(list(continuous = "autopoint")) ``` ] .panel2-the_chunk-auto[ <!-- --> ] --- count: false .panel1-the_chunk-auto[ ``` r ggpairs_piped(tips) |> set_lower() |> # set_columns(c("tip", "total_bill")) |> set_lower(list(continuous = "smooth")) |> # lm is default set_lower(list(continuous = "autopoint")) |> set_lower(list(continuous = "cor")) ``` ] .panel2-the_chunk-auto[ <!-- --> ] --- count: false .panel1-the_chunk-auto[ ``` r ggpairs_piped(tips) |> set_lower() |> # set_columns(c("tip", "total_bill")) |> set_lower(list(continuous = "smooth")) |> # lm is default set_lower(list(continuous = "autopoint")) |> set_lower(list(continuous = "cor")) |> set_lower(list(continuous = "density")) ``` ] .panel2-the_chunk-auto[ <!-- --> ] --- count: false .panel1-the_chunk-auto[ ``` r ggpairs_piped(tips) |> set_lower() |> # set_columns(c("tip", "total_bill")) |> set_lower(list(continuous = "smooth")) |> # lm is default set_lower(list(continuous = "autopoint")) |> set_lower(list(continuous = "cor")) |> set_lower(list(continuous = "density")) |> set_lower(list(continuous = "smooth_lm")) ``` ] .panel2-the_chunk-auto[ <!-- --> ] --- count: false .panel1-the_chunk-auto[ ``` r ggpairs_piped(tips) |> set_lower() |> # set_columns(c("tip", "total_bill")) |> set_lower(list(continuous = "smooth")) |> # lm is default set_lower(list(continuous = "autopoint")) |> set_lower(list(continuous = "cor")) |> set_lower(list(continuous = "density")) |> set_lower(list(continuous = "smooth_lm")) |> set_lower(list(continuous = "smooth_loess")) ``` ] .panel2-the_chunk-auto[ <!-- --> ] --- count: false .panel1-the_chunk-auto[ ``` r ggpairs_piped(tips) |> set_lower() |> # set_columns(c("tip", "total_bill")) |> set_lower(list(continuous = "smooth")) |> # lm is default set_lower(list(continuous = "autopoint")) |> set_lower(list(continuous = "cor")) |> set_lower(list(continuous = "density")) |> set_lower(list(continuous = "smooth_lm")) |> set_lower(list(continuous = "smooth_loess")) |> set_columns(c("time", "smoker")) ``` ] .panel2-the_chunk-auto[ <!-- --> ] --- count: false .panel1-the_chunk-auto[ ``` r ggpairs_piped(tips) |> set_lower() |> # set_columns(c("tip", "total_bill")) |> set_lower(list(continuous = "smooth")) |> # lm is default set_lower(list(continuous = "autopoint")) |> set_lower(list(continuous = "cor")) |> set_lower(list(continuous = "density")) |> set_lower(list(continuous = "smooth_lm")) |> set_lower(list(continuous = "smooth_loess")) |> set_columns(c("time", "smoker")) |> set_lower(list(discrete = "autopoint")) ``` ] .panel2-the_chunk-auto[ <!-- --> ] --- count: false .panel1-the_chunk-auto[ ``` r ggpairs_piped(tips) |> set_lower() |> # set_columns(c("tip", "total_bill")) |> set_lower(list(continuous = "smooth")) |> # lm is default set_lower(list(continuous = "autopoint")) |> set_lower(list(continuous = "cor")) |> set_lower(list(continuous = "density")) |> set_lower(list(continuous = "smooth_lm")) |> set_lower(list(continuous = "smooth_loess")) |> set_columns(c("time", "smoker")) |> set_lower(list(discrete = "autopoint")) |> set_lower(list(discrete = "count")) ``` ] .panel2-the_chunk-auto[ <!-- --> ] --- count: false .panel1-the_chunk-auto[ ``` r ggpairs_piped(tips) |> set_lower() |> # set_columns(c("tip", "total_bill")) |> set_lower(list(continuous = "smooth")) |> # lm is default set_lower(list(continuous = "autopoint")) |> set_lower(list(continuous = "cor")) |> set_lower(list(continuous = "density")) |> set_lower(list(continuous = "smooth_lm")) |> set_lower(list(continuous = "smooth_loess")) |> set_columns(c("time", "smoker")) |> set_lower(list(discrete = "autopoint")) |> set_lower(list(discrete = "count")) |> set_lower(list(discrete = "cross")) ``` ] .panel2-the_chunk-auto[ <!-- --> ] --- count: false .panel1-the_chunk-auto[ ``` r ggpairs_piped(tips) |> set_lower() |> # set_columns(c("tip", "total_bill")) |> set_lower(list(continuous = "smooth")) |> # lm is default set_lower(list(continuous = "autopoint")) |> set_lower(list(continuous = "cor")) |> set_lower(list(continuous = "density")) |> set_lower(list(continuous = "smooth_lm")) |> set_lower(list(continuous = "smooth_loess")) |> set_columns(c("time", "smoker")) |> set_lower(list(discrete = "autopoint")) |> set_lower(list(discrete = "count")) |> set_lower(list(discrete = "cross")) |> set_lower(list(discrete = "table")) ``` ] .panel2-the_chunk-auto[ <!-- --> ] --- count: false .panel1-the_chunk-auto[ ``` r ggpairs_piped(tips) |> set_lower() |> # set_columns(c("tip", "total_bill")) |> set_lower(list(continuous = "smooth")) |> # lm is default set_lower(list(continuous = "autopoint")) |> set_lower(list(continuous = "cor")) |> set_lower(list(continuous = "density")) |> set_lower(list(continuous = "smooth_lm")) |> set_lower(list(continuous = "smooth_loess")) |> set_columns(c("time", "smoker")) |> set_lower(list(discrete = "autopoint")) |> set_lower(list(discrete = "count")) |> set_lower(list(discrete = "cross")) |> set_lower(list(discrete = "table")) |> set_lower(list(discrete = "crosstable")) ``` ] .panel2-the_chunk-auto[ <!-- --> ] --- count: false .panel1-the_chunk-auto[ ``` r ggpairs_piped(tips) |> set_lower() |> # set_columns(c("tip", "total_bill")) |> set_lower(list(continuous = "smooth")) |> # lm is default set_lower(list(continuous = "autopoint")) |> set_lower(list(continuous = "cor")) |> set_lower(list(continuous = "density")) |> set_lower(list(continuous = "smooth_lm")) |> set_lower(list(continuous = "smooth_loess")) |> set_columns(c("time", "smoker")) |> set_lower(list(discrete = "autopoint")) |> set_lower(list(discrete = "count")) |> set_lower(list(discrete = "cross")) |> set_lower(list(discrete = "table")) |> set_lower(list(discrete = "crosstable")) |> set_lower(list(discrete = "ratio")) ``` ] .panel2-the_chunk-auto[ <!-- --> ] --- count: false .panel1-the_chunk-auto[ ``` r ggpairs_piped(tips) |> set_lower() |> # set_columns(c("tip", "total_bill")) |> set_lower(list(continuous = "smooth")) |> # lm is default set_lower(list(continuous = "autopoint")) |> set_lower(list(continuous = "cor")) |> set_lower(list(continuous = "density")) |> set_lower(list(continuous = "smooth_lm")) |> set_lower(list(continuous = "smooth_loess")) |> set_columns(c("time", "smoker")) |> set_lower(list(discrete = "autopoint")) |> set_lower(list(discrete = "count")) |> set_lower(list(discrete = "cross")) |> set_lower(list(discrete = "table")) |> set_lower(list(discrete = "crosstable")) |> set_lower(list(discrete = "ratio")) |> set_lower(list(discrete = "rowbar")) ``` ] .panel2-the_chunk-auto[ <!-- --> ] --- count: false .panel1-the_chunk-auto[ ``` r ggpairs_piped(tips) |> set_lower() |> # set_columns(c("tip", "total_bill")) |> set_lower(list(continuous = "smooth")) |> # lm is default set_lower(list(continuous = "autopoint")) |> set_lower(list(continuous = "cor")) |> set_lower(list(continuous = "density")) |> set_lower(list(continuous = "smooth_lm")) |> set_lower(list(continuous = "smooth_loess")) |> set_columns(c("time", "smoker")) |> set_lower(list(discrete = "autopoint")) |> set_lower(list(discrete = "count")) |> set_lower(list(discrete = "cross")) |> set_lower(list(discrete = "table")) |> set_lower(list(discrete = "crosstable")) |> set_lower(list(discrete = "ratio")) |> set_lower(list(discrete = "rowbar")) |> set_lower(list(discrete = "trends")) ``` ] .panel2-the_chunk-auto[ <!-- --> ] --- count: false .panel1-the_chunk-auto[ ``` r ggpairs_piped(tips) |> set_lower() |> # set_columns(c("tip", "total_bill")) |> set_lower(list(continuous = "smooth")) |> # lm is default set_lower(list(continuous = "autopoint")) |> set_lower(list(continuous = "cor")) |> set_lower(list(continuous = "density")) |> set_lower(list(continuous = "smooth_lm")) |> set_lower(list(continuous = "smooth_loess")) |> set_columns(c("time", "smoker")) |> set_lower(list(discrete = "autopoint")) |> set_lower(list(discrete = "count")) |> set_lower(list(discrete = "cross")) |> set_lower(list(discrete = "table")) |> set_lower(list(discrete = "crosstable")) |> set_lower(list(discrete = "ratio")) |> set_lower(list(discrete = "rowbar")) |> set_lower(list(discrete = "trends")) |> set_lower(list(discrete = "facetbar")) # default ``` ] .panel2-the_chunk-auto[ <!-- --> ] --- count: false .panel1-the_chunk-auto[ ``` r ggpairs_piped(tips) |> set_lower() |> # set_columns(c("tip", "total_bill")) |> set_lower(list(continuous = "smooth")) |> # lm is default set_lower(list(continuous = "autopoint")) |> set_lower(list(continuous = "cor")) |> set_lower(list(continuous = "density")) |> set_lower(list(continuous = "smooth_lm")) |> set_lower(list(continuous = "smooth_loess")) |> set_columns(c("time", "smoker")) |> set_lower(list(discrete = "autopoint")) |> set_lower(list(discrete = "count")) |> set_lower(list(discrete = "cross")) |> set_lower(list(discrete = "table")) |> set_lower(list(discrete = "crosstable")) |> set_lower(list(discrete = "ratio")) |> set_lower(list(discrete = "rowbar")) |> set_lower(list(discrete = "trends")) |> set_lower(list(discrete = "facetbar")) |> # default set_columns(c("tip", "smoker")) ``` ] .panel2-the_chunk-auto[ <!-- --> ] --- count: false .panel1-the_chunk-auto[ ``` r ggpairs_piped(tips) |> set_lower() |> # set_columns(c("tip", "total_bill")) |> set_lower(list(continuous = "smooth")) |> # lm is default set_lower(list(continuous = "autopoint")) |> set_lower(list(continuous = "cor")) |> set_lower(list(continuous = "density")) |> set_lower(list(continuous = "smooth_lm")) |> set_lower(list(continuous = "smooth_loess")) |> set_columns(c("time", "smoker")) |> set_lower(list(discrete = "autopoint")) |> set_lower(list(discrete = "count")) |> set_lower(list(discrete = "cross")) |> set_lower(list(discrete = "table")) |> set_lower(list(discrete = "crosstable")) |> set_lower(list(discrete = "ratio")) |> set_lower(list(discrete = "rowbar")) |> set_lower(list(discrete = "trends")) |> set_lower(list(discrete = "facetbar")) |> # default set_columns(c("tip", "smoker")) |> set_lower(list(combo = "autopoint")) ``` ] .panel2-the_chunk-auto[ <!-- --> ] --- count: false .panel1-the_chunk-auto[ ``` r ggpairs_piped(tips) |> set_lower() |> # set_columns(c("tip", "total_bill")) |> set_lower(list(continuous = "smooth")) |> # lm is default set_lower(list(continuous = "autopoint")) |> set_lower(list(continuous = "cor")) |> set_lower(list(continuous = "density")) |> set_lower(list(continuous = "smooth_lm")) |> set_lower(list(continuous = "smooth_loess")) |> set_columns(c("time", "smoker")) |> set_lower(list(discrete = "autopoint")) |> set_lower(list(discrete = "count")) |> set_lower(list(discrete = "cross")) |> set_lower(list(discrete = "table")) |> set_lower(list(discrete = "crosstable")) |> set_lower(list(discrete = "ratio")) |> set_lower(list(discrete = "rowbar")) |> set_lower(list(discrete = "trends")) |> set_lower(list(discrete = "facetbar")) |> # default set_columns(c("tip", "smoker")) |> set_lower(list(combo = "autopoint")) |> set_lower(list(combo = "box")) ``` ] .panel2-the_chunk-auto[ <!-- --> ] --- count: false .panel1-the_chunk-auto[ ``` r ggpairs_piped(tips) |> set_lower() |> # set_columns(c("tip", "total_bill")) |> set_lower(list(continuous = "smooth")) |> # lm is default set_lower(list(continuous = "autopoint")) |> set_lower(list(continuous = "cor")) |> set_lower(list(continuous = "density")) |> set_lower(list(continuous = "smooth_lm")) |> set_lower(list(continuous = "smooth_loess")) |> set_columns(c("time", "smoker")) |> set_lower(list(discrete = "autopoint")) |> set_lower(list(discrete = "count")) |> set_lower(list(discrete = "cross")) |> set_lower(list(discrete = "table")) |> set_lower(list(discrete = "crosstable")) |> set_lower(list(discrete = "ratio")) |> set_lower(list(discrete = "rowbar")) |> set_lower(list(discrete = "trends")) |> set_lower(list(discrete = "facetbar")) |> # default set_columns(c("tip", "smoker")) |> set_lower(list(combo = "autopoint")) |> set_lower(list(combo = "box")) |> set_lower(list(combo = "box_no_facet")) ``` ] .panel2-the_chunk-auto[ <!-- --> ] --- count: false .panel1-the_chunk-auto[ ``` r ggpairs_piped(tips) |> set_lower() |> # set_columns(c("tip", "total_bill")) |> set_lower(list(continuous = "smooth")) |> # lm is default set_lower(list(continuous = "autopoint")) |> set_lower(list(continuous = "cor")) |> set_lower(list(continuous = "density")) |> set_lower(list(continuous = "smooth_lm")) |> set_lower(list(continuous = "smooth_loess")) |> set_columns(c("time", "smoker")) |> set_lower(list(discrete = "autopoint")) |> set_lower(list(discrete = "count")) |> set_lower(list(discrete = "cross")) |> set_lower(list(discrete = "table")) |> set_lower(list(discrete = "crosstable")) |> set_lower(list(discrete = "ratio")) |> set_lower(list(discrete = "rowbar")) |> set_lower(list(discrete = "trends")) |> set_lower(list(discrete = "facetbar")) |> # default set_columns(c("tip", "smoker")) |> set_lower(list(combo = "autopoint")) |> set_lower(list(combo = "box")) |> set_lower(list(combo = "box_no_facet")) |> set_lower(list(combo = "denstrip")) ``` ] .panel2-the_chunk-auto[ <!-- --> ] --- count: false .panel1-the_chunk-auto[ ``` r ggpairs_piped(tips) |> set_lower() |> # set_columns(c("tip", "total_bill")) |> set_lower(list(continuous = "smooth")) |> # lm is default set_lower(list(continuous = "autopoint")) |> set_lower(list(continuous = "cor")) |> set_lower(list(continuous = "density")) |> set_lower(list(continuous = "smooth_lm")) |> set_lower(list(continuous = "smooth_loess")) |> set_columns(c("time", "smoker")) |> set_lower(list(discrete = "autopoint")) |> set_lower(list(discrete = "count")) |> set_lower(list(discrete = "cross")) |> set_lower(list(discrete = "table")) |> set_lower(list(discrete = "crosstable")) |> set_lower(list(discrete = "ratio")) |> set_lower(list(discrete = "rowbar")) |> set_lower(list(discrete = "trends")) |> set_lower(list(discrete = "facetbar")) |> # default set_columns(c("tip", "smoker")) |> set_lower(list(combo = "autopoint")) |> set_lower(list(combo = "box")) |> set_lower(list(combo = "box_no_facet")) |> set_lower(list(combo = "denstrip")) |> set_lower(list(combo = "dot")) ``` ] .panel2-the_chunk-auto[ <!-- --> ] --- count: false .panel1-the_chunk-auto[ ``` r ggpairs_piped(tips) |> set_lower() |> # set_columns(c("tip", "total_bill")) |> set_lower(list(continuous = "smooth")) |> # lm is default set_lower(list(continuous = "autopoint")) |> set_lower(list(continuous = "cor")) |> set_lower(list(continuous = "density")) |> set_lower(list(continuous = "smooth_lm")) |> set_lower(list(continuous = "smooth_loess")) |> set_columns(c("time", "smoker")) |> set_lower(list(discrete = "autopoint")) |> set_lower(list(discrete = "count")) |> set_lower(list(discrete = "cross")) |> set_lower(list(discrete = "table")) |> set_lower(list(discrete = "crosstable")) |> set_lower(list(discrete = "ratio")) |> set_lower(list(discrete = "rowbar")) |> set_lower(list(discrete = "trends")) |> set_lower(list(discrete = "facetbar")) |> # default set_columns(c("tip", "smoker")) |> set_lower(list(combo = "autopoint")) |> set_lower(list(combo = "box")) |> set_lower(list(combo = "box_no_facet")) |> set_lower(list(combo = "denstrip")) |> set_lower(list(combo = "dot")) |> set_lower(list(combo = "dot_no_facet")) ``` ] .panel2-the_chunk-auto[ <!-- --> ] --- count: false .panel1-the_chunk-auto[ ``` r ggpairs_piped(tips) |> set_lower() |> # set_columns(c("tip", "total_bill")) |> set_lower(list(continuous = "smooth")) |> # lm is default set_lower(list(continuous = "autopoint")) |> set_lower(list(continuous = "cor")) |> set_lower(list(continuous = "density")) |> set_lower(list(continuous = "smooth_lm")) |> set_lower(list(continuous = "smooth_loess")) |> set_columns(c("time", "smoker")) |> set_lower(list(discrete = "autopoint")) |> set_lower(list(discrete = "count")) |> set_lower(list(discrete = "cross")) |> set_lower(list(discrete = "table")) |> set_lower(list(discrete = "crosstable")) |> set_lower(list(discrete = "ratio")) |> set_lower(list(discrete = "rowbar")) |> set_lower(list(discrete = "trends")) |> set_lower(list(discrete = "facetbar")) |> # default set_columns(c("tip", "smoker")) |> set_lower(list(combo = "autopoint")) |> set_lower(list(combo = "box")) |> set_lower(list(combo = "box_no_facet")) |> set_lower(list(combo = "denstrip")) |> set_lower(list(combo = "dot")) |> set_lower(list(combo = "dot_no_facet"))|> set_lower(list(combo = "facetdensitystrip")) ``` ] .panel2-the_chunk-auto[ <!-- --> ] --- count: false .panel1-the_chunk-auto[ ``` r ggpairs_piped(tips) |> set_lower() |> # set_columns(c("tip", "total_bill")) |> set_lower(list(continuous = "smooth")) |> # lm is default set_lower(list(continuous = "autopoint")) |> set_lower(list(continuous = "cor")) |> set_lower(list(continuous = "density")) |> set_lower(list(continuous = "smooth_lm")) |> set_lower(list(continuous = "smooth_loess")) |> set_columns(c("time", "smoker")) |> set_lower(list(discrete = "autopoint")) |> set_lower(list(discrete = "count")) |> set_lower(list(discrete = "cross")) |> set_lower(list(discrete = "table")) |> set_lower(list(discrete = "crosstable")) |> set_lower(list(discrete = "ratio")) |> set_lower(list(discrete = "rowbar")) |> set_lower(list(discrete = "trends")) |> set_lower(list(discrete = "facetbar")) |> # default set_columns(c("tip", "smoker")) |> set_lower(list(combo = "autopoint")) |> set_lower(list(combo = "box")) |> set_lower(list(combo = "box_no_facet")) |> set_lower(list(combo = "denstrip")) |> set_lower(list(combo = "dot")) |> set_lower(list(combo = "dot_no_facet"))|> set_lower(list(combo = "facetdensitystrip")) |> set_lower(list(combo = "facethist")) ``` ] .panel2-the_chunk-auto[ <!-- --> ] --- count: false .panel1-the_chunk-auto[ ``` r ggpairs_piped(tips) |> set_lower() |> # set_columns(c("tip", "total_bill")) |> set_lower(list(continuous = "smooth")) |> # lm is default set_lower(list(continuous = "autopoint")) |> set_lower(list(continuous = "cor")) |> set_lower(list(continuous = "density")) |> set_lower(list(continuous = "smooth_lm")) |> set_lower(list(continuous = "smooth_loess")) |> set_columns(c("time", "smoker")) |> set_lower(list(discrete = "autopoint")) |> set_lower(list(discrete = "count")) |> set_lower(list(discrete = "cross")) |> set_lower(list(discrete = "table")) |> set_lower(list(discrete = "crosstable")) |> set_lower(list(discrete = "ratio")) |> set_lower(list(discrete = "rowbar")) |> set_lower(list(discrete = "trends")) |> set_lower(list(discrete = "facetbar")) |> # default set_columns(c("tip", "smoker")) |> set_lower(list(combo = "autopoint")) |> set_lower(list(combo = "box")) |> set_lower(list(combo = "box_no_facet")) |> set_lower(list(combo = "denstrip")) |> set_lower(list(combo = "dot")) |> set_lower(list(combo = "dot_no_facet"))|> set_lower(list(combo = "facetdensitystrip")) |> set_lower(list(combo = "facethist")) |> set_lower(list(combo = "summarise_by")) ``` ] .panel2-the_chunk-auto[ <!-- --> ] --- count: false .panel1-the_chunk-auto[ ``` r ggpairs_piped(tips) |> set_lower() |> # set_columns(c("tip", "total_bill")) |> set_lower(list(continuous = "smooth")) |> # lm is default set_lower(list(continuous = "autopoint")) |> set_lower(list(continuous = "cor")) |> set_lower(list(continuous = "density")) |> set_lower(list(continuous = "smooth_lm")) |> set_lower(list(continuous = "smooth_loess")) |> set_columns(c("time", "smoker")) |> set_lower(list(discrete = "autopoint")) |> set_lower(list(discrete = "count")) |> set_lower(list(discrete = "cross")) |> set_lower(list(discrete = "table")) |> set_lower(list(discrete = "crosstable")) |> set_lower(list(discrete = "ratio")) |> set_lower(list(discrete = "rowbar")) |> set_lower(list(discrete = "trends")) |> set_lower(list(discrete = "facetbar")) |> # default set_columns(c("tip", "smoker")) |> set_lower(list(combo = "autopoint")) |> set_lower(list(combo = "box")) |> set_lower(list(combo = "box_no_facet")) |> set_lower(list(combo = "denstrip")) |> set_lower(list(combo = "dot")) |> set_lower(list(combo = "dot_no_facet"))|> set_lower(list(combo = "facetdensitystrip")) |> set_lower(list(combo = "facethist")) |> set_lower(list(combo = "summarise_by")) |> set_lower(list(combo = "trends")) ``` ] .panel2-the_chunk-auto[ <!-- --> ] <style> .panel1-the_chunk-auto { color: black; width: 38.6060606060606%; hight: 32%; float: left; padding-left: 1%; font-size: 80% } .panel2-the_chunk-auto { color: black; width: 59.3939393939394%; hight: 32%; float: left; padding-left: 1%; font-size: 80% } .panel3-the_chunk-auto { color: black; width: NA%; hight: 33%; float: left; padding-left: 1%; font-size: 80% } </style> <style type="text/css"> .remark-code{line-height: 1.5; font-size: 65%} @media print { .has-continuation { display: block; } } code.r.hljs.remark-code{ position: relative; overflow-x: hidden; } code.r.hljs.remark-code:hover{ overflow-x:visible; width: 500px; border-style: solid; } </style>